Автор: С.Р. Рахманов, Б.Н. Лагутин, В.Л. Тополов
Категории:
машиностроение
Предложена конструкция датчика измерения угловых зазоров, методика проведения экспериментальных исследований и модель формирования динамических нагрузок с учетом зазоров в сочленениях «шарнир-полумуфта» привода автоматического стана.
Установлена картина образования зазоров в сочленениях «шарнир-полумуфта» и динамических нагрузок в главном приводе стана. Определены величины динамических нагрузок в приводе стана с учетом степени износа и появления зазора в сочленениях шарнира шпинделя (вкладышах и лопастях трефнасадки). Разработано устройства для предварительной выборки зазоров в сочленениях и элементах линии привода стана.
Ключевые слова: привод, шарнир, зазор, валок, динамика, жесткость, момент, давление, труба, гильза, удар, коэффициент динамичности, муфта, датчик, реохорд, осциллограмма, автоматический стан, трубопрокатный агрегат, устройство, гистограмма

Рахманов Сулейман Рахманович
Национальная металлургическая академия Украины,
кафедра теоретической механики. ООО НПФ «ВОСТОК ПЛЮС»
Интенсификация технологического процесса производства бесшовных труб обуславливает необходимость оценки прочностного резерва и совершенствования действующих станов трубопрокатного агрегата, в частности автоматического стана [1].
В приводе тяжелонагруженного автоматического стана, работающего в режиме переходного или неустановившегося процесса, при наличии в элементах нерегламентированных технологической документацией зазоров, в сочленениях возникают значительные знакопеременные ударные динамические нагрузки.
Динамические нагрузки представляют определенную опасность, связанную с возникновением дополнительных запредельных напряжений в элементах привода переменного характера. Особую опасность представляют напряжения знакопеременные и когда нагрузки проходят через положение равновесия с последующими многочисленными ударами в сочленениях главного привода стана с зазорами [2].
Следует, отметит, что в случае больших выработок в сочленениях шарниров шпинделя, трефовых муфт, соединениях с рабочими валками при изменении знака момента происходит распад соответствующих масс системы, а в момент закрытия зазоров – удары.
При существующих тяжелых режимах эксплуатации автоматического стана ТПА 350 линия привода стана периодически, многократно и кратковременно нагружается между соответствующими технологическими проходами гильзы через очаг деформации стана. При этом, с течением определенного времени, первоначальный функционально необходимый зазор в системах привода значительно увеличивается, что приводит к дальнейшему неконтролируемому росту динамических нагрузок в механической системе.
В связи с этим возникает необходимость в нормировании величины предельного зазора в сочленениях привода стана, при котором нагрузки в элементах силовой линии не будут выходить за пределы допустимых величин и будут обеспечены параметры безопасности функционирования всей трансмиссии.
При проектировании технологических процессов, назначении режимов прокатки гильз на автоматическом стане и оценки прочности элементов главного привода стана зазоры во всей трансмиссии не всегда учитываются или учитываются с помощью некоторых коэффициентов, определенных весьма не корректным способом, что не всегда отражает действительную картину формирования сложных динамических процессов.
Несмотря на многообразие имеющихся математических моделей и методов расчета механических систем с распадающимися массами динамические процессы в приводах большинства тяжелонагруженных прокатных станов, как правило, исследуются линейными дифференциальными уравнениями и упрощенными моделями эквивалентной системы станов.
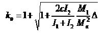
Согласно [2, 3, 5] для наиболее распространенной эквивалентной двухмассовой модели главного привода автоматического стана ТПА 350 коэффициент динамичности, при действии постоянных величин технологических и движущих нагрузок в системе, с учетом зазоров в сочленениях определяется в виде
,
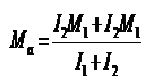
где
; c – жесткость элементов привода;I1 – приведенный к ротору момент инерции электродвигателя; I2 – приведенный к рабочему валку момент инерции системы; M1 – момент главного привода; M2 – суммарный момент технологического сопротивления при прокатке гильзы на стане; ∆ – суммарный угловой зазор в элементах линии главного привода автоматического стана.
Из данного выражения следует, что с увеличением величины зазора в линии главного привода стана коэффициент динамичности рассматриваемой механической системы возрастает по некоторой нарастающей кривой с последующим насыщением по горизонтали, что не соответствует данным экспериментальных исследований тяжелонагруженной линии привода автоматического стана ТПА 350.
В силу этого вопрос о действительных величинах динамических нагрузок во всей трансмиссии стана с зазорами становится актуальным.
Необходимые для расчетов величины фактических нагрузок при прокатке труб различного сортамента может быть получено на основе экспериментальных исследований параметров линии привода автоматического стана ТПА.
Предметом ряда исследований [2, 3, 4] являлось изучение условий работы рабочего инструмента (валка), шпиндельных соединений и т.д. Отметим что, при этом меньше всего уделено внимания анализу появления зазоров в сочленениях шарнира шпинделя привода автоматического стана ТПА 350, в связи с определенными трудностями, связанными с возможностью перемещения элементов верхней ветви привода обусловленной требованиями технологического процесса прокатки гильзы на стане [4].
Однако в связи с отсутствием относительно корректных математических моделей и аналитических выражений [2 – 8], описывающих процессы открытия и закрытия зазоров в приводах тяжелонагруженных станов, к которым относятся автоматический стан ТПА 350, становится необходимым условием использование результатов многофакторных экспериментальных исследований.
При экспериментальном исследовании линии привода автоматического стана трубопрокатного агрегата ТПА 350 фиксировались во времени следующие параметры: зазоры при относительном перемещении лопасти трефнасадки и головки шпинделя в местах соединения шпинделя с рабочим валком; момент на валу нижнего шпинделя; давление металл на валки.
Изменение зазора при относительном перемещении лопасти полумуфты и головки шарнира нижнего шпинделя осуществлялось с помощью специального датчика реохордного типа (рис.1).

Рис.1. Конструкция реохордного датчика измерения зазора в сочленениях шарнира шпинделя главного привода автоматического стана ТПА
Датчик реохордного типа состоит из корпуса 1, в котором соосно по обе стороны на подшипниковых опорах установлены два диска 2, имеющие возможность свободно вращаться вокруг своей оси. На оси одном из дисков 2 внутри корпуса установлен реохорд 3 с токосъемником, а с другой стороны на оси диска установлен ползун 4. При вращении обоих дисков с одинаковой угловой скоростью ползунок 4 неподвижен и на пленке регистрирующего прибора (осциллографа) прочерчивается горизонтальная линия. При относительном повороте одного из дисков ползунок перемещается по реохорду и на регистрирующий прибор посылается сигнал пропорциональный величине зазора в сочленениях «шарнир-полумуфта».
Для повышения чувствительности датчик содержит множество ползунков, расположенных равномерно по окружности через 10 градусов. Таким образом, за один оборот дисков датчика при относительном перемещении (при стационарном положении одного из дисков) на пленке осциллографа будут изображены наклонные линии по форме зубьев пилы, причем один «зуб» соответствует относительному повороту дисков на 10º.
Корпус датчика 1 посредством подшипников насажен на ось 5 перпендикулярно оси вращения дисков 2. Ось 5 в свою очередь жестко закреплена на траверсе 6, которая имеет возможность поворачиваться вокруг неподвижной оси 7, параллельной оси вращения дисков 2. Прижатие дисков 2 к исследуемым элементам привода осуществляется посредством плоской 8 и цилиндрической витой пружины 10, укрепленной на траверсе 6. Корпус датчика имеет две степени свободы, что позволяет обеспечивать надежное прижатие дисков 2 к торцам головки шпинделя и трефнасадки (полумуфты).
Принцип работы датчика заключается в том, что при незначительных по величине относительных углах поворота двух свободно вращающихся дисков 2, прижимаемых к торцам шпиндельной головки и трефнасадки, на осциллограмме появляются наклонные линии. Для улучшения контакта между диском 5 с торцами шпиндельной головки 1 и трефнасадки 2 образующие дисков предварительно накатаны. Натяжение рычага головки датчика осуществляется упругой пластиной. При этом, исключения проскальзывания диски 2 снабжены специальными резиновыми кольцами.
На рис.2 схематически показано шарнирное соединение шпиндельной головки 1 и лопасти трефнасадки 2, соединенной с хвостовиком рабочего валка 3 и основные элементы датчика 4, обеспечивающие создание надежного контакта ведомого звена датчика с исследуемыми деталями привода.
Параметры датчика выбираются из равенства линейных скоростей точек соприкосновения и угловых скоростей шпинделя 1, трефнасадки 2 и дисков 5 (без учета проскальзывания дисков). Диски имеют теоретические скорости пропорционально отношениям диаметров элементов привода.
При несоблюдении вышеуказанного условия на пленке осциллографа будут просматриваться линии с малым углом наклона, или же горизонтальные линии, наклон которых характеризует качество настройки положения датчика.
Отметим, что при установившимся режиме работы привода на пленке будут прорисовываться соответственно горизонтальная линия или линия наклонная линия с малым углом наклона. При относительном движении образующей шпиндельной головки и трефнасадки происходит как бы их относительной проскальзывание и фиксация углового перемещения элементов привода на пленке.

Рис.2. Соединение шпиндельной головки с лопастью трефнасадки рабочего валка привода автоматического стана, снабженного датчиком для измерения зазора в сочленениях шарнира
Тарировка датчика производилась в лабораторных условиях на токарном станке 1К62 при помощи угломера с последующим осциллографированием заданных параметров.
На рис. 3 представлена наиболее характерная осциллограмма, полученная при исследованиях линии привода автоматического стана ТПА 350.

Рис. 3. Осциллограмма экспериментальных исследований линии главного привода автоматического стана ТПА 350 без учета выборки зазоров в главной линии в сочленениях главного привода
Анализ результатов показывает, что практически в течении всего холостого хода шпиндельная головка и лопасть трефнасадки привода совершает относительное перемещение в поле существующего зазора. При этом в зоне зазора ударные нагрузки значительно превышают статические.
Как правило, захват гильзы валками осуществляется при открытых зазорах в линии привода и сопровождается значительными ударами. Это приводит к резкому увеличению момента упругости на валу шпинделя главного привода автоматического стана ТПА 350.
Установлено, что максимальная величина зазора в сочленениях привода автоматического стана ТПА 350, достигает 8 – 10º во время захвата трубы (переходных процессов), и до 5º во время холостого хода
Изучение динамики процесса открытия и закрытия зазоров в главном приводе автоматического стана показало влияние на этот процесс работы пневматического вталкивателя заготовок. Так, наибольшая величина зазоров соответствует к моменту принудительной подачи гильзы вталкивателем в очаг деформации автоматического стана.
На участке осциллограммы, соответствующем установившемуся процессу прокатки гильзы, наблюдается более крутой наклон линии записи показаний датчика распадения масс, чем в течении холостого хода. Причем имеет место крутой наклон линии записи показаний датчика со стороны лопасти рабочего валка в момент захвата гильзы и после выхода трубы из очага деформации.
Максимальный коэффициент динамичности при отсутствии зазора в системе «шарнир-полумуфта» составляет примерно 1,75 от номинальной величины нагрузки.
Как видно из осциллограммы (рис.3) фактически коэффициент динамичности при прокатке труб диаметром 146 со стенкой 8 мм из стали марки ШХ15 в момент захвата гильзы составляет 4,32. Это объясняется наличием значительных не регламентированных зазоров в сочленениях шарнира шпинделя стана.
Осциллографирование параметров автоматического стана ТПА 350 производилось при различном состоянии износа вкладыша и лопасти трефнасадки, что позволило оценить влияние различных величин зазоров в соединениях на динамические нагрузки.
Необходимо подчеркнуть, что в результате проведения экспериментальных исследований автоматического стана ТПА 350 получена полная картина процесса взаимодействия масс механической системы.
На базе результатов многочисленных экспериментальных исследований условий функционирования построим гистограмму формирования зазоров в линии привода автоматического стана ТПА 350 по методике [3].
Из рисунка 4 видно, что в пределах доверительного интервала появления и роста зазоров в элементах привода стана в пределах интервала захвата трубы валками, характер распределения данных величин, при некотором допущении, подчиняется нормальному закону распределения в диапазоне относительных величин зазоров.

Рис. 4. Гистограмма образования зазоров в шарнире шпинделя главного привода автоматического стана ТПА 350 (результаты экспериментальных исследований при прокатке толстостенных труб)
Анализ результатов экспериментальных исследований показывает, что увеличение зазоров, вследствие интенсивного износа элементов привода, по сравнению с номинальными их величинами на 25-30% недопустимо. При этом дальнейшее увеличение зазоров в элементах привода приводит к интенсивному разрушению элементов привода автоматического стана ТПА 350. Характер формирования динамических нагрузок в период захвата гильзы валками стана, при этом, носит гармонический характер и в последующем пульсацией вокруг номинальной величины.
Экспериментальные исследования линии приводов некоторых автоматических станов сводятся к подтверждению зависимости коэффициента динамичности системы от углового положения лопасти полумуфты в сочленении шарнира шпинделя в момент захвата массивной гильзы рабочими валками стана.
Данные, полученные экспериментально, для автоматического стана ТПА 350, указывают на такую зависимость для лопастных шарниров, полученную при постоянной скорости рабочих валков и равнозначных условий деформации между соответствующими проходами гильзы через очаг деформации стана.
На рис.5 показана данная зависимость для сочленений шпинделя привода автоматического стана ТПА 350.

Рис. 5. Зависимость коэффициента динамичности главного привода автоматического стана ТПА 350 от углового положения лопасти валка в шарнире шпинделя в момент захвата гильзы: 1 – первый проход гильзы; 2 – второй проход гильзы
Рассуждая о величинах коэффициента динамичности, то из представленных на рисунке 5 результатов следует, что системы привода высокодинамичны. Это особенно проявляется в областях скопления экспериментальных точек, как при первом, так и во втором проходах гильзы через очаг деформации стана.
В горизонтальном положении шпинделя и лопасти трефнасадки рабочего валка автоматического стана коэффициент динамичности примерно на 20-25% выше, чем при вертикальных положениях. Значение коэффициента динамичности механической системы для обоих проходов гильзы близки, что указывает на приблизительно равномерное распределение деформаций между технологическими проходами гильзы через очаг деформации.
Исследованиями линии главного привода автоматического стана ТПА 350 установлено характерное влияние угловой скорости рабочего валка на величину коэффициента динамичности системы. Результаты исследований для привода валков рабочей клети автоматического стана ТПА 350 представлены на рис.6.
Отметим, что с ростом угловой скорости рабочих валков автоматического стана ТПА 350 коэффициент динамичности системы для соответствующих технологических проходов гильзы через очаг деформации стана линейно возрастает.

Рис. 6. Зависимость коэффициента динамичности линии привода от угловой скорости валков рабочей клети: 1 – первый проход гильзы; 2 – второй проход гильзы; 3 – с учетом выборки зазоров в приводе.
При проведении экспериментальных исследований на стане выявлено неравномерное распределение моментов между шпинделями главного привода. Очевидно, данный факт имеет место как в результате нарушений технологических режимов прокатки гильзы на стене, так и наличием значительных зазоров в шпинделях, частично выбираемых по ходу прокатки гильзы (металла) в произвольном порядке.
Характерно, что в период предварительной выборки зазоров в линии привода стана рост угловой скорости рабочих валков приводит к незначительному увеличению коэффициента динамичности механической системы.
Исследованием условий формирования зазоров определены конкретные мероприятия по улучшению работоспособности и функционирования линии привода стана ТПА 350.
На практике уменьшение динамических нагрузок от ударов в зазорах можно достичь качественным изготовлением деталей и повышением точности установки. Отметим, что применением специальных устройств, регулирующих или исключающих зазоры, введением в некоторых приводах предпусковых ступеней запуска двигателя достигается заметное снижение динамики системы [3, 7, 8].
Для стабилизации динамических нагрузок, путем устранения зазоров в сочленениях элементов привода, в большинстве случаев, необходимо использовать специальные устройства для предварительной выборки зазоров.
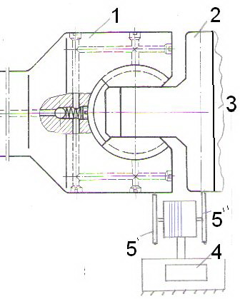
На рис.7 показан привод валков рабочей клети лабораторного прокатного стана дуо 160с устройством для предварительной выборки зазоров в ветвях трансмиссии.

Рис.7. Линия привода валков рабочей клети лабораторного стана дуо 160 с устройством для выборки зазоров: 1 – валок рабочий; 2 – шпинель; 3 – шестеренная клеть; 4 – муфта; 5 – электродвигатель; 6, 7, 8 –механизм выборки зазоров в трансмиссии; 9 – заготовка (гильза)
Привод валков прокатного стана содержит рабочие валки 1, связанные через универсальные шпиндели 2, шестеренную клеть 3 и муфты 4 с электродвигателем 5. С не приводной стороны рабочей клети хвостовики рабочих валков 1 кинематически связаны между собой посредством механизм выборки зазоров, Механизм выборки зазоров 6 посредством индивидуального привода 7, размещенного в корпусе 8, перед каждым циклом захвата заготовки взаимодействует с хвостовиками валков 1.
Принцип работы привода валков рабочей клети прокатного стана, снабженного механизм выборки зазоров, заключается в следующем.
При прокатке заготовки (гильзы) 9 между валками 1 технологический момент прокатки определенно распределяется между шпинделями (ветвями) 2 привода (в силу некоторых особенностей при этом наиболее нагруженными оказались нижние ветви привода).
Механизм выборки зазоров осуществляет предварительное нагружение привода валков 6, по сигналу системы управления, посредством подтормаживающей системы 7, одновременно обеспечивает предварительное поочередное «мягкое» закрытие зазоров в замкнутом контуре главного привода стана.
После предварительной выборки зазоров в ветвях трансмиссии, элементы дисковой подтормаживающей системы, по команде системы управления, освобождают хвостовики валков, и главный привод стана функционирует в режиме холостого хода.
В результате предварительного закрытия зазоров в главном приводе обеспечивается стабилизированный режим нагружения базовых элементов трансмиссии, что приводит к снижению динамических нагрузок и значительному сокращению простоев стана.
ВЫВОДЫ
- На основе экспериментальных исследований составлена модель формирования динамических составляющих нагрузок и зазоров в сочленениях «шарнир-полумуфта» привода автоматического стана ТПА-350.
- Установлена картина формирования зазоров в сочленениях «шарнир-полумуфта» и динамических нагрузок в главном приводе стана.
- Определены величины динамических нагрузок в приводе стана с учетом степени износа и появления зазора в сочленениях шарнира шпинделя (вкладышах и лопастях трефнасадки).
- Предложена конструкция дискового подтормаживающего устройства для предварительной выборки зазоров в сочленениях и элементах линии привода стана.
- Разработана модель экспериментальных исследований применима в приводах других станов продольной прокатки при изучении условий функционирования и характера формирования зазоров в элементах механической системы.
СПИСОК ИСПОЛЬЗОВАННЫХ ИСТОЧНИКОВ
- Соловейчик П.М. Трубопрокатные агрегаты с автомат станом. М.: Металлургия, 1967. – 160 с.
- Иванченко Ф.К. Динамика и прочность прокатного оборудования/ Ф.К. Иванченко, П.И. Полухин, М.А. Тылкин// –М.: Металлургия, 1970. – 487 с.
- Смирнов В.В., Яковлев Р.А. Механика приводов прокатных станов. -М.: Металлургия, 1977. –216 с.
- Данилов Ф.А., Глейберг А.З. Горячая прокатка труб/ Ф.А. Данилов, А.З. Глейберг// – М.: Металлургиздат, 1962. – 450 с.
- Кожевников С.Н., Динамика машин с упругими звеньями. – Киев: Изд-во АНУССР, 1961. – 160 с.
- Кожевников С.Н., Ленский А.Н. Динамическое исследование механизмов с зазорами в кинематических парах. В кн.: Динамика машин, М.: Машгиз, 1960. С.85-100.
- Вейц В.Л. Расчет механических систем приводов с зазорами./ В.Л. Вейц, А.Е. Кочура, Г.В. Царев // –М.: Машиностроение, 1972. –183 с.
- Вейц В.Л., Кочура А.Е., Вопросы динамики замкнутых цепей с фрикционным натягом. В кн. «Технология автомобилестроения», вып.41,Тольятти., 1974. С. 27-31.