Автор: Бирюков А.Б.
Категории:
теплотехника
Разработана система мониторинга теплотехнических параметров кристаллизаторов сортовых МНЛЗ, основанная на углубленной интерпретации сигналов стандартных датчиков системы АСУ ТП. Данная система позволяет устанавливать изменение во времени таких важных параметров, характеризующих тепловую работу кристаллизатора как средняя плотность теплового потока, средние коэффициенты теплопередачи в кристаллизаторе и теплоотдачи к внутренней поверхности кристаллизатора, эффективная толщина газового зазора. Показано, что контроль величины эффективной толщины газового зазора в режиме реального времени при помощи системы АСУ ТП предоставляет возможности оперативной оценки износа внутренней поверхности гильз кристаллизаторов, практической проверки соответствия конусности кристаллизаторов усадке заготовок, выбора наилучших кристаллизаторов для условий конкретного производства, установления взаимосвязи износа гильз кристаллизаторов с образованием дефекта ромбичности.
Ключевые слова: сортовая МНЛЗ, кристаллизатор, теплоотвод, износ кристаллизатора, эффективная толщина газового зазора

Бирюков Алексей Борисович
Доцент, д.т.н., заведующий кафедрой технической теплофизики
Донецкого национального технического университета
УДК 621.746
СИСТЕМА МОНИТОРИНГА ТЕПЛОТЕХНИЧЕСКИХ ПАРАМЕТРОВ КРИСТАЛЛИЗАТОРОВ СОРТОВЫХ МНЛЗ
Проблема и ее связь с научными и практическими задачами
Надежная работа МНЛЗ и качество непрерывнолитых заготовок во многом определяются тепловыми параметрами работы МНЛЗ. Поэтому исследования и разработки, направленные на совершенствование теплотехнических параметров всех элементов МНЛЗ, являются актуальными. Значительная роль в обеспечении рациональных параметров действующих МНЛЗ отводится системам АСУ ТП, которые постоянно эволюционируют и в перспективе должны обладать функцией глубокого мониторинга и оперативного анализа всех параметров работы МНЛЗ.
Анализ публикаций по теме исследования
Общепризнанным является факт о прямой зависимости качества заготовок и стабильности процесса разливки от правильности протекания процессов, прежде всего тепловых, в кристаллизаторе МНЛЗ [1]. Сегодня, вероятно, все МНЛЗ снабжены контролем такой величины как перепад температуры охлаждающей воды в кристаллизаторе [1-3]. Она несет косвенную информацию о количестве тепла, переданного в кристаллизаторе, что в свою очередь характеризует теплообмен между корочкой заготовки и внутренней поверхностью кристаллизатора. Так увеличение перепада температур охлаждающей воды в кристаллизаторе говорит об увеличении количества тепла, отводимого от поверхности заготовки и наоборот [3].
Однако эта величина не позволяет напрямую сравнивать между собой работу кристаллизаторов, как различных МНЛЗ, так и одного и того же агрегата, но за различные периоды времени, так как отличия перепада температур могли быть вызваны некоторым изменением расходов первичной охлаждающей воды на кристаллизатор [4].
Постановка проблемы исследования
Целью данного исследования является разработка научных основ системы мониторинга теплотехнических параметров кристаллизаторов сортовых МНЛЗ, базирующейся на углубленной интерпретации сигналов стандартных датчиков системы АСУ ТП и позволяющей получать информацию, на основе которой возможны сравнение тепловой работы различных кристаллизаторов и уточнение их рациональных конструктивных и технологических параметров.
Изложение материала и результаты
В кристаллизаторе тепло от жидкой стали передается к охлаждающей воде через ряд последовательно включенных термических сопротивлений [5] (рис. 1).
Для адекватного сравнения тепловой работы кристаллизаторов могут быть использованы величины, напрямую независящие от расхода первичной воды. В качестве таких величин целесообразно использовать среднюю плотность теплового потока с поверхности заготовки в кристаллизаторе (
), среднее значение коэффициента теплопередачи в кристаллизаторе (
), средний коэффициент теплоотдачи от корки заготовки к внутренней поверхности гильзы кристаллизатора (
), эффективную толщину газового зазора (dэф). Методология определения этих величин рассмотрена ниже.
Значение средней плотности теплового потока может быть определено из уравнения усредненного теплового баланса кристаллизатора:

, (1)
где G – массовый расход воды через кристаллизатор, кг/с;
c – теплоемкость воды, Дж/(кг×К)
Dt – перепад температур охлаждающей воды в кристаллизаторе, °С;
F – поверхность контакта заготовки и кристаллизатора, м2.
С точки зрения закона теплопередачи средняя плотность теплового потока может быть выражена как

, (2)
где ts – температура солидуса для разливаемой марки стали, °С;
twav – средняя температура охлаждающей воды в кристаллизаторе, °С.
Поскольку в качестве движущей силы теплопередачи в выражении (2) взята разница температур от солидуса до средней температуры охлаждающей воды, значение
представляет собой «проводимость» тепловой цепи, включающей в себя термические сопротивления передаче тепла через твердую корку, через газовый зазор, через стенку гильзы кристаллизатора и от ее наружной поверхности к охлаждающей воде.
Определив среднюю плотность теплового потока с поверхности заготовки в кристаллизаторе из уравнения теплового баланса (1), можем найти среднее значение коэффициента теплопередачи в кристаллизаторе:
.
Используя с некоторым допущением зависимости, справедливые для стационарного теплообмена, можно записать зависимость среднего коэффициента теплопередачи в кристаллизаторе от всех термических сопротивлений

, (3)
где aw – коэффициент теплоотдачи от внешней поверхности гильзы кристаллизатора к воде, Вт/(м2×К);
dм – толщина стенки гильзы кристаллизатора, м;
lм – коэффициент теплопроводности материала гильзы кристаллизатора, Вт/(м×К);
– средняя толщина корки металла в кристаллизаторе, м;
lк – коэффициент теплопроводности корки заготовки при ее средней температуре, Вт/(м×К).
При помощи уравнения (3) определяем средний коэффициент теплоотдачи от корки заготовки к внутренней поверхности гильзы кристаллизатора:

. (4)
Эта величина несет интегральную информацию о тепломеханических процессах, протекающих в кристаллизаторе. Анализ ее значений для кристаллизаторов различной конусности позволит уточнить представления о механизме теплообмена в полости кристаллизатора. Так, зная величину
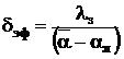
, можно определить значение эффективной толщины газового зазора между коркой заготовки и внутренней поверхностью гильзы кристаллизатора (dэф). Поскольку при использовании величины эффективной толщины газового зазора для изучения теплообмена в кристаллизаторе предполагается, что тепловой поток от поверхности заготовки формируется только по двум механизмам: излучением и теплопроводностью через газовый зазор, получаем следующее выражение для определения dэф:
, (5)
где
– теплопроводность газовой прослойки, Вт/(м∙К);
aл – коэффициент лучистой теплоотдачи от корки заготовки к внутренней поверхности гильзы кристаллизатора, Вт/(м2×К).
Величина aл определяется на основании известной зависимости, описывающей лучистый теплообмен:

, (6)
где Тп – температура поверхности заготовки, К;
Тст – температура внутренней поверхности гильзы кристаллизатора, К;
– приведенный коэффициент излучения при лучистом теплообмене между поверхностью заготовки и внутренней поверхностью гильзы кристаллизатора.
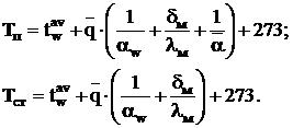
Значения Тп и Тст могут быть с достаточно небольшой погрешностью определены на основании зависимостей, справедливых для стационарной теплопередачи через ряд последовательно включенных термических сопротивлений:
(7)
На основании анализа предложенных зависимостей (1-7) можно заключить, что с их помощью в рамках системы АСУ ТП в режиме реального времени можно определять изменение значений всех заявленных величин (
,
,
, dэф) в зависимости от таких аргументов как перепад температуры охлаждающей воды в кристаллизаторе, расход первичной воды, теплофизические характеристики разливаемой стали, геометрические параметры гильзы кристаллизатора (рис. 2).

Пример определения зависимости эффективной толщины газового зазора от перепада температуры охлаждающей воды в кристаллизаторе при помощи предложенных расчетных зависимостей для следующих исходных данных (заготовка 130х130 мм, расход первичной воды 30кг/с, материал гильзы кристаллизатора – медь, толщина стенки гильзы 0,01 м) приведен на рис. 3.
Контроль величины эффективной толщины газового зазора в режиме реального времени при помощи системы АСУ ТП предоставляет следующие возможности:
– оперативный контроль износа внутренней поверхности гильз кристаллизаторов на основании анализа изменения во времени величины dэф;
– практическая проверка соответствия конусности кристаллизаторов усадке заготовок на основе сопоставления средних уровней dэф для конкретных сочетаний профилей кристаллизатора и марок стали с оптимальным значением эффективной толщины газового зазора, установленным из практического опыта;
– выбор наилучших кристаллизаторов для условий конкретного производства на основе анализа соответствующих массивов информации о среднем значении эффективной толщины газового зазора;
– установление взаимосвязи износа гильз кристаллизаторов с образованием дефекта ромбичности (достигается путем совместной обработки информации о температурно-скоростных режимах разливки, марках стали, конусности кристаллизаторов, соответствовавших им величинах эффективных толщин газовых зазоров и данных о ромбичности заготовок при помощи аппарата математической статистики).

Выводы и перспективы дальнейших исследований.
В данной работе создана система мониторинга теплотехнических параметров кристаллизаторов сортовых МНЛЗ, которая базируется на углубленной интерпретации сигналов стандартных датчиков системы АСУ ТП за счет их использования в качестве аргументов в специально разработанных зависимостях.
Предложенная система устанавливает изменение во времени параметров, позволяющих сравнивать показатели тепловой работы различных кристаллизаторов и оценивать эффективность их работы: средняя плотность теплового потока, средние коэффициенты теплопередачи в кристаллизаторе и теплоотдачи к внутренней поверхности кристаллизатора, эффективная толщина газового зазора.
Показано, что контроль величины эффективной толщины газового зазора в режиме реального времени делает возможным оперативный контроль износа внутренней поверхности гильз кристаллизаторов, проверку соответствия конусности кристаллизаторов усадке заготовок, выбор наилучших кристаллизаторов для условий конкретного производства, установление взаимосвязи износа гильз кристаллизаторов с образованием дефекта ромбичности.
Важным направлением дальнейших исследований является создание методологии, позволяющий на основании определенных при помощи системы АСУ ТП усредненных для всей поверхности гильзы кристаллизатора величин плотности теплового потока и эффективной толщины газового зазора прогнозировать характеристики несимметричности износа внутренней поверхности гильзы кристаллизатора.
Список литературы
- Смирнов А.Н. Непрерывная разливка стали: Учебник /А.Н. Смирнов, С.В. Куберский, Е.В. Штепан.– Донецк: ДонНТУ, 2011.– 482 с.
- Дюдкин Д.А. Качество непрерывнолитой стальной заготовки/ Д.А. Дюдкин. – К.: Техніка, 1988. – 253 с.
- Смирнов А.Н. Непрерывная разливка сортовой заготовки / А.Н. Смирнов, С.В. Куберский, А.Л. Подкорытов и др. – Донецк: Цифровая типография, 2012. – 417 с.
- Бирюков А.Б Современные аспекты теплового мониторинга работы МНЛЗ // Металл и литье Украины. – 2008. – № 7-8. – С. 37-40.
- Емельянов В.А. Тепловая работа машин непрерывного литья заготовок: учебн. пособие для вузов / В.А. Емельянов. – М.: Металлургия, 1988. – 143 с.