Автор: Кобылянский Б.Б.
Категории:
горнорудное производство
В работе, на основании данных по социальному страхованию работников угольной отрасли промышленного района города, с применением методов классической статистики высокого уровня сделаны выводы о дальнейшем пути развития страхования травматизма, исходя из общих затрат ликвидации последствий этого негативного явления.
Ключевые слова: анализ травматизма, угольные предприятия, статистика

Кобылянский Борис Борисович
канд. техн. наук (доц. каф. ОТЭБ УНППИ УИПА)
Прогноз возникновения возможного травматизма на угольных предприятиях
Одним из основных критериев оценки техногенного риска на предприятиях повышенной опасности, в частности, угольных предприятий, является уровень возможного травматизма.
Для анализа травматизма и профзаболеваний использованы данные Фонда социального страхования от несчастных случаев Горняцкого района г. Макеевки и статистические данные шахт ГП «Макеевуголь»: ш/у им. Ленина, шахта Холодная Балка, ЧПП «Горняк-95», шахта Глубокая.
Для начала анализа необходимо выяснить динамику травматизма и профзаболеваний на угольных предприятиях Горняцкого района г. Макеевки. Для этого исключим влияние общерайонной статистики профзаболеваний и травм (таблица 1-2), оставив динамику травматизма и профзаболеваний, не связанных с деятельностью угольных предприятий (таблица 3).
Далее исключаем влияние демографических и эпидемиологических факторов, которые повлияли на увеличение травматизма в районе, путем расчета коэффициентов увеличения травматизма и профзаболеваний, не связанных с деятельностью предприятий угольной промышленности, и скорректируем динамику увеличения травматизма и профзаболеваний на шахтах Горняцкого района г. Макеевки с учетом этих коэффициентов (таблица 4).
Если принимать во внимание увеличение травматизма и профзаболеваний, не связанных с деятельностью предприятий угольной промышленности, и абстрагировать их на травматизм и профзаболевания в угольной промышленности, получаем следующий массив данных, представленный в таблице 5. Данный скорректированный массив травматизма можно использовать для сравнения с фактическими показателями и выявлять слабые места работы по предотвращению травматизма и профзаболеваний в районе.
Из таблицы 6 видно, что значительное превышение увеличения травматизма и профзаболеваний на шахтах наблюдается в 2003 г., 2007 г., 2010 г.; и 2011 г. То есть эти периоды являются наиболее благоприятными для установления причин увеличения травматизма в районе. В дальнейшем эти исследования можно будет использовать для разработки программы по предотвращению повторения травм и профзаболеваний.
Таблица 1
|
|
2001
|
2002
|
2003
|
2004
|
2005
|
2006
|
2007
|
2008
|
2009
|
2010
|
2011
|
5 мес 2011
|
5 мес 2012
|
|
Всего
|
172
|
247
|
285
|
277
|
197
|
208
|
206
|
198
|
206
|
203
|
227
|
86
|
107
|
|
Количество травм (Н-1)
|
146
|
218
|
253
|
231
|
170
|
162
|
151
|
150
|
171
|
177
|
191
|
71
|
87
|
|
Количество профзаболеваний
|
26
|
29
|
32
|
46
|
27
|
46
|
55
|
48
|
35
|
26
|
36
|
15
|
20
|
Количество несчастных случаев и профзаболеваний по Горняцкому району г. Макеевки
Таблица 2
|
|
2001
|
2002
|
2003
|
2004
|
2005
|
2006
|
2007
|
2008
|
2009
|
2010
|
2011
|
5 мес 2011
|
5 мес 2012
|
|
Всего
|
140
|
182
|
224
|
211
|
136
|
150
|
162
|
149
|
148
|
151
|
188
|
73
|
81
|
|
Количество травм (Н-1)
|
118
|
157
|
195
|
172
|
115
|
108
|
109
|
104
|
121
|
129
|
156
|
61
|
63
|
|
Количество профзаболеваний
|
22
|
25
|
29
|
39
|
21
|
42
|
53
|
45
|
27
|
22
|
32
|
12
|
18
|
Количество несчастных случаев и профзаболеваний на предприятиях угольной промышленности Горняцкого района
Таблица 3
|
|
2001
|
2002
|
2003
|
2004
|
2005
|
2006
|
2007
|
2008
|
2009
|
2010
|
2011
|
5 мес 2011
|
5 мес 2012
|
|
Всего
|
32
|
65
|
61
|
66
|
61
|
58
|
44
|
49
|
58
|
52
|
39
|
13
|
26
|
|
Количество травм (Н-1)
|
28
|
61
|
58
|
59
|
55
|
54
|
42
|
46
|
50
|
48
|
35
|
10
|
24
|
|
Количество профзаболеваний
|
4
|
4
|
3
|
7
|
6
|
4
|
2
|
3
|
8
|
4
|
4
|
3
|
2
|
Количество несчастных случаев и профзаболеваний Горняцкого района г. Макеевки не связанных с деятельностью предприятий угольной промышленности
Таблица 4
|
|
2001
|
2002
|
2003
|
2004
|
2005
|
2006
|
2007
|
2008
|
2009
|
2010
|
2011
|
5 мес 2011
|
5 мес 2012
|
|
Всего
|
|
2,03
|
0,94
|
1,08
|
0,92
|
0,95
|
0,76
|
1,11
|
1,18
|
0,90
|
0,75
|
0,33
|
2,00
|
|
Количество травм (Н-1)
|
|
2,18
|
0,95
|
1,02
|
0,93
|
0,98
|
0,78
|
1,10
|
1,09
|
0,96
|
0,73
|
0,29
|
2,40
|
|
Количество профзаболеваний
|
|
1,00
|
0,75
|
2,33
|
0,86
|
0,67
|
0,50
|
1,50
|
2,67
|
0,50
|
1,00
|
0,75
|
0,67
|
Расчет темпом увеличения травматизма и профзаболеваний не связанных с деятельностью предприятий угольной промышленности
Таблица 5
|
|
2001
|
2002
|
2003
|
2004
|
2005
|
2006
|
2007
|
2008
|
2009
|
2010
|
2011
|
5 мес 2011
|
5 мес 2012
|
|
Всего
|
|
279
|
168
|
266
|
193
|
127
|
105
|
199
|
233
|
130
|
116
|
69
|
154
|
|
Количество травм (Н-1)
|
|
257
|
149
|
198
|
160
|
113
|
84
|
119
|
113
|
116
|
94
|
45
|
146
|
|
Количество профзаболеваний
|
|
22
|
19
|
68
|
33
|
14
|
21
|
80
|
120
|
14
|
22
|
24
|
8
|
Корректировка травматизма и профзаболеваний на предприятиях угольной промышленности
Таблица 6
|
|
2001
|
2002
|
2003
|
2004
|
2005
|
2006
|
2007
|
2008
|
2009
|
2010
|
2011
|
5 мес 2011
|
5 мес 2012
|
|
Всего
|
|
-97
|
56
|
-55
|
-57
|
23
|
57
|
-50
|
-85
|
21
|
72
|
4
|
-73
|
|
Количество травм (Н-1)
|
|
-100
|
46
|
-26
|
-45
|
-5
|
25
|
-15
|
8
|
13
|
62
|
16
|
-83
|
|
Количество профзаболеваний
|
|
3
|
10
|
-29
|
-12
|
28
|
32
|
-35
|
-93
|
8
|
10
|
-12
|
10
|
Разница между фактическими показателями травматизма и профзаболеваний в угольной промышленности и скорректированными
Проведем расчет прогнозных значений возможного травматизма на основании показателей по трем шахтам Горняцкого района за период с 2001 по 2011 год.
Показатели травматизма по четырем шахтам за период с 2001 по 2011 года приведены в таблице 7.
Таблица 7
Травматизм по угольным предприятиям
|
|
2001
|
2002
|
2003
|
2004
|
2005
|
2006
|
2007
|
2008
|
2009
|
2010
|
2011
|
Ср. знач.
|
|
ш/у Ленина
|
61
|
64
|
83
|
81
|
47
|
36
|
43
|
42
|
43
|
45
|
70
|
56
|
|
ш. Хол. Балка
|
70
|
87
|
88
|
78
|
58
|
49
|
49
|
47
|
64
|
67
|
60
|
65
|
|
ЧПП «Горняк-95»
|
7
|
4
|
23
|
13
|
10
|
18
|
10
|
15
|
14
|
17
|
26
|
14
|
|
ш. Глубокая
|
224
|
219
|
162
|
107
|
75
|
46
|
7
|
0
|
0
|
0
|
0
|
79,4
|
По этим данным построен график изменения показателя травматизма по годам (рисунок 1) и по виду графика подбираем зависимость показателя травматизма по времени от первого года предшествующего десятилетия.
Рисунок 1
Изменение показателя травматизма
В большинстве случаев в качестве прогнозной функции используется экспоненциальная зависимость[1-4]
, (1)
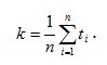
где x(t) – величина показателя травматизма за время t от первого года предшествующего десятилетия;
a, b – постоянные коэффициенты;
t – время, прошедшее от первого года предшествующего десятилетия, лет;
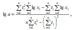
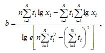
e – основание натуральных логарифмов. Коэффициенты a и b определяются по следующим зависимостям:
, (2)
, (3)
где
– значение показателя травматизма за i-тый год;
– время, прошедшее от первого года предшествующего десятилетия до i-того года;
п – число наблюдений.
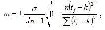
Ошибка прогнозных значений показателя травматизма рассчитывается по следующей зависимости [4-8]
, (4)
где s – среднеквадратичное отклонение;
– время, прошедшее от первого года предшествующего десятилетия соответственно до i-того года этого десятилетия и до j-того прогнозируемого года;
. (5)
Значение среднеквадратичного отклонения определяется по следующей зависимости:
(6)
Прогнозные значения показателя травматизма рассчитываются по следующей зависимости
, (7)
где Т – время, прошедшее от первого года предшествующего десятилетия до прогнозируемого года.
Если фактические значения показателя травматизма в году, для которого сделан прогноз, будут находиться в пределах, рассчитанного по формуле (3) или меньше, то это свидетельствует о том, что травматизм остался на том же уровне или уменьшился; если фактические значения будут больше расчетных, то это будет указывать на рост травматизма.
Ш/У ЛЕНИНА
По формулам (2) и (3) рассчитаны постоянные коэффициенты а и b. Исходные данные для расчета приведены в таблице 8.
Таблица 8
|
Год
|
n
|
ti
|
ti2
|
xi
|
lgxi
|
tilgxi
|
|
2001
|
1
|
1
|
1
|
61
|
1,785
|
1,785
|
|
2002
|
2
|
2
|
4
|
64
|
1,806
|
3,612
|
|
2003
|
3
|
3
|
9
|
83
|
1,919
|
5,757
|
|
2004
|
4
|
4
|
16
|
81
|
1,908
|
7,634
|
|
2005
|
5
|
5
|
25
|
47
|
1,672
|
8,360
|
|
2006
|
6
|
6
|
36
|
36
|
1,556
|
9,338
|
|
2007
|
7
|
7
|
49
|
43
|
1,633
|
11,434
|
|
2008
|
8
|
8
|
64
|
42
|
1,623
|
12,986
|
|
2009
|
9
|
9
|
81
|
43
|
1,633
|
14,701
|
|
2010
|
10
|
10
|
100
|
45
|
1,653
|
16,532
|
|
Сумма
|
10
|
55
|
385
|
|
17,191
|
92,141
|


тогда зависимость (1) принимает вид
.
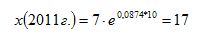
Прогнозное значение показателя "общее число травмированных" в 2011 г. будет равно


прогнозных значений показателя травматизма


,
следовательно
.
Фактическое значение общего травматизма на шахте составило 70, что почти в 2 раза больше расчетного, это указывает на рост травматизм на ш/у Ленина в 2011 году.
Шахта Холодная Балка
По формулам (2) и (3) рассчитаны постоянные коэффициенты а и b. Исходные данные для расчета приведены в таблице 9.
Таблица 9
|
Год
|
n
|
ti
|
ti2
|
xi
|
lgxi
|
tilgxi
|
|
2001
|
1
|
1
|
1
|
70
|
1,845
|
1,845
|
|
2002
|
2
|
2
|
4
|
87
|
1,940
|
3,879
|
|
2003
|
3
|
3
|
9
|
88
|
1,944
|
5,833
|
|
2004
|
4
|
4
|
16
|
78
|
1,892
|
7,568
|
|
2005
|
5
|
5
|
25
|
58
|
1,763
|
8,817
|
|
2006
|
6
|
6
|
36
|
49
|
1,690
|
10,141
|
|
2007
|
7
|
7
|
49
|
49
|
1,690
|
11,831
|
|
2008
|
8
|
8
|
64
|
47
|
1,672
|
13,377
|
|
2009
|
9
|
9
|
81
|
64
|
1,806
|
16,256
|
|
2010
|
10
|
10
|
100
|
67
|
1,826
|
18,261
|
|
Сумма
|
10
|
55
|
385
|
|
18,069
|
97,809
|


тогда зависимость (1) принимает вид
.
Прогнозное значение показателя "общее число травмированных" в 2011 г. будет равно


прогнозных значений показателя травматизма


,
следовательно
.
Фактическое значение общего травматизма на шахте составило 60. Так как прогнозное значение показателя общего травматизма изменяется от 40 до 66, то можно утверждать, что травматизм на шахте Холодная Балка в 2011 году остается на том же уровне.
ЧПП «Горняк-95»
По формулам (2) и (3) рассчитаны постоянные коэффициенты а и b. Исходные данные для расчета приведены в таблице 10.
Таблица 10
|
Год
|
n
|
ti
|
ti2
|
xi
|
lgxi
|
tilgxi
|
|
2001
|
1
|
1
|
1
|
7
|
0,845
|
0,845
|
|
2002
|
2
|
2
|
4
|
4
|
0,602
|
1,204
|
|
2003
|
3
|
3
|
9
|
23
|
1,362
|
4,085
|
|
2004
|
4
|
4
|
16
|
13
|
1,114
|
4,456
|
|
2005
|
5
|
5
|
25
|
10
|
1,000
|
5,000
|
|
2006
|
6
|
6
|
36
|
18
|
1,255
|
7,532
|
|
2007
|
7
|
7
|
49
|
10
|
1,000
|
7,000
|
|
2008
|
8
|
8
|
64
|
15
|
1,176
|
9,409
|
|
2009
|
9
|
9
|
81
|
14
|
1,146
|
10,315
|
|
2010
|
10
|
10
|
100
|
17
|
1,230
|
12,304
|
|
Сумма
|
10
|
55
|
385
|
|
10,731
|
62,150
|


тогда зависимость (1) принимает вид
.
Прогнозное значение показателя "общее число травмированных" в 2011 г. будет равно


прогнозных значений показателя травматизма


,
следовательно
.
Фактическое значение общего травматизма на шахте составило 26. Так как прогнозное значение показателя общего травматизма изменяется от 14 до 20, то можно утверждать, что травматизм на ЧПП «Горняк-95» в 2011 году увеличился.
Обобщая изложенное, можно сделать вывод о том, что, с увеличением интенсивности работ увеличивается уровень травматизма. Дальнейшее же увеличение производственных мощностей требует подготовки, как персонала, в части обучения его безопасным методам работы, так и введением новой техники с повышенным уровнем безопасности.
Литература
1. Єремеев В.С. Теорія ймовірностей та математична статистика / В.С. Єремеев, Д.О. Сосновских, О.В. Тітова. – Мелітополь.: ТОВ «Видавничий будинок ММД», 2009. – 188 с.
2. Кендалл М. Теория распределений/ М. Кендалл, А.Стюарт. - М.: Наука, 1966. – 588 с.
3. Кремер Н.Ш. Теория вероятностей и математическая статистика: учебник для студентов вузов, обучающихся по экономическим специальностям / Н.Ш. Кремер.– М.: ЮНИТИ-ДАНА, 2007. – 551 с.
4. Мостеллер Ф. Анализ данных и регрессия: в 2-х вып. Вып.1/ Пер. с англ. Ю. Н. Благовещенского; Под ред. Ю. П. Адлера/ Ф .Мостеллер, Дж. Тьюки. – М.: Финансы и статистика, 1982 – 317с.
5. Орлова И.В. Экономико-математические методы и модели. Выполнение расчетов в Excel / И.В. Орлова. – М., ЗАО «Финстатинформ», 2000. - 135 с.
6. Тумасян, А. А. Статистика промышленности: учебное пособие / А. А. Тумасян, Л. И. Василевская. – Минск: Новое знание. – Москва: Инфра–М, 2012. – 429 с.
7. Химмельблау Д. Анализ процессов статистическими методами / Д. Химмельблау. – М.: Мир, 1973. – 959 с.
8. Холлендер М.. Непараметрические методы статистики / М. Холлендер, Д. Вульф. – М.: Мир, 1983. – 518 с.