Автор: Павловский Б.Г., Степаненко А.Н., Балакин В.Ф., Гармашев Д.Ю., Угрюмов Ю.Д.
Категории:
трубное производство
В работе обоснована возможность использования стана-элонгатора в качестве прошивного стана винтовой прокатки. Разработана усовершенствованная методика расчета давления и момента прокатки для косовалковых прошивных станов.
Ключевые слова: стан-элонгатор, гильза, труба, момент прокатки.
УДК 621.774.32
Совершенствование методики расчета силовых параметров при косовалковой прошивке заготовок
Павловский Б.Г., Степаненко А.Н., Балакин В.Ф., Гармашев Д.Ю., Угрюмов Ю.Д.
На ПАО «ИНТЕРПАЙП НТЗ» постоянно ведется работа по совершенствованию сортамента и улучшению качества производимых труб для нефтяной промышленности.
Крупную (по значению и объемам производства) группу представляют трубы нефтяного сортамента. Преимущественную роль в способе производства на предприятии по отношению к общему объему продукции принадлежит агрегатам с пилигримовым станами.
Ужесточение требований по качеству труб потребовало перехода на более совершенные методы изготовления стали и проката, что возможно только при масштабной реконструкции сталеплавильного и прокатного производств. Научной базой для технико-экономического обоснования комплекса работ послужили проведенные исследования в области совершенствования выплавки и разливки стали, прошивки заготовки, прокатки гильз.
В области совершенствования производства бесшовных труб исследования проводились, начиная с операций по подготовке металла к прокату и заканчивая операциями отделки труб. Важным аспектом являлась оценка возможности расширения сортамента выпускаемых труб.
При получении горячекатаных труб размером от 168 мм до 377 мм и более на ТПА с пилигримовыми станами в качестве прошивного средства, как правило, используется прошивной стан винтовой прокатки. В условиях ТПЦ-4 ПАО «ИНТЕРПАЙП НТЗ» для этой цели применяется имеющийся в технологической цепи стан-элонгатор. На основании проведенного анализа геометрического очага деформации, силовых параметров процесса прямой прошивки были разработаны рекомендации по калибровке рабочих валков и оправок стана.

В рамках данной работы были выполнены проверочные расчеты прочности отдельных узлов оборудования при прокатке труб как существующего сортамента и так для новых типоразмеров (Ø168-426 мм).
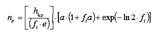
В связи с этим усовершенствовали методику расчета давления и моментов прокатки для косовалковых прошивных станов [1,2]. Момент прокатки можно рассматривать как производную сил трения, возникающих при контакте металла с валком [3]. В соответствии с рекомендациями [4] такой метод может быть использован при сплошном скольжении металла в очаге деформации, причем процессы косовалкокой прошивки характеризуются развитым скольжением металла относительно валков в осевом и тангенциальном направлениях. В производственных условиях в калибровках рабочих валков тангенциальное опережение во входном и выходном сечениях очага деформации практически отсутствует.
Суть методики заключается в разделении очага деформации по длине на участки: I — безоправочпой прокатки (до встречи металла с оправкой); II — прокатки на стационарной вращающейся оправке; III — обкатки гильзы (трубы) валками без оправки в выходном конусе очага деформации (рис. 1). Общий крутящий момент прокатки М и давление металла на валок Р определяются как их сумма на элементарных площадках Мiи Рi, равных половине шага подачи за один оборот заготовки Si; при заполненном металлом очага деформации двухвалкового стана (трети шага для трех валкового):
; (1)
где RBi— средний радиус валка, равный полусумме радиусов на концах элементарной площадки;
fi — коэффициент трения.
При установившемся процессе прокатки коэффициент трения определяется в соответствии с рекомендациями [5]:
(2)
где t- температура прокатки.

Рис.1 - Очаг деформации прошивного стана (стана-элонгатора)
Радиус Rhдля чугунных валков равен 1 мм, для стальных — 1,2 мм, для стальных с насечкой — 1,5 мм. Значения радиуса Rvследующие:
Окружная скорость валков, м/с |
0 - 1,0
|
2,0
|
2,5
|
3,0
|
4,0
|
5,0
|
|
Rv
|
1,0
|
0,9
|
0,75
|
0,65
|
0,55
|
0,5
|
Давление на валок на элементарной площадке составляет
(3)
где рi— среднее удельное давление металла на валок на элементарной контактной площадке шириной li.
Среднее удельное давление металла на валок определяем по формуле:
гдеnσ— коэффициент подпора, учитывающий влияние трения в направлении вращения валков;
nβ — коэффициент, учитывающий влияние трения в поперечном направлении к направлению вращения валков (nβ = 1,155);
n3 — коэффициент влияния внешних зон;
nν— коэффициент, учитывающий влияние окружной скорости валков.
При этом коэффициент nνизменяется в следующих приделах:
v,m/c |
0,5
|
1,0
|
1,5
|
2,0
|
2,5
|
3,0
|
3,5
|
4,0
|
4,5
|
5,0
|
|
nν
|
1,35
|
1,70
|
1,75
|
1,85
|
1,40
|
1,91
|
1,92
|
1,93
|
1,94
|
1,95
|
nε — коэффициент, учитывающий влияние относительного обжатия по диаметру заготовки (трубы) или толщины стенки εСР:
Δ, % |
1
|
2
|
3
|
4
|
5
|
6
|
7
|
8
|
9
|
10
|
|
nε
|
1,19
|
1,35
|
1,45
|
1,55
|
1,62
|
1,67
|
1,69
|
1,71
|
1,73
|
1,75
|
nСД — коэффициент, учитывающий влияние изгиба стенки на участках безоправочной прокатки (для сплошного тела и при прокатке на оправке nСД=1;
σS — предел пластичности в условиях статических испытаний [6]. Коэффициент подпора [2]:
(4)
(5)
Коэффициент влияния внешних зон составляет [7]:
(6)
где hiCP— диаметр заготовки (полого раската) в очаге деформации, DiCPили толщина стенки и СiCP (средняя) для элементарной контактной площадки.
Величина коэффициента nСД определяется из выражения:
(7)
Длина элементарной контактной поверхности металла с валком для станов с бочкообразными валками:
(8)
где DГ— диаметр гильзы; FГ — площадь поперечного сечения гильзы; Fi-1 — площадь поперечного сечения раската в начале элементарной контактной площадки; ηо — коэффициент тангенциального скольжения металла относительно валков в выходном сечении очага деформации; ηт — коэффициент тангенциального скольжения там же; α — угол подачи валков (влиянием угла раскатки валков β в данном случае можно пренебречь).
Средние значения liCP,hiCP, и εCP определяются из выражений:
(9)
(10)
Выражение (10) относится к участкам очага деформации I и III (рис. 1):
(11)
Выражение (11) относится к участку II:
(12)
Выражение (12) относится к участкам I и III:
(13)
Выражение (13) относится к участку II. Ширина контактной поверхности в сечении очага деформации определяется из следующего выражения (рис. 2):
Рис. 2- Схема контакта металла с валком
, (14)
где RBГ— радиус валка в сечении очага II;
γi. — центральный угол дуги контакта металла с валком (для упрощения расчетов пренебрегаем углами перекоса валка):
; (15)
(16)
где Ri-1 —радиус раската в сечении очага деформации i-1;
Аi— расстояние от проекции оси валка на горизонтальную плоскость до оси прокатки в сечении i.
Значения параметров, входящих в уравнения (14) и (16), определяются для конкретного стана по общепринятым зависимостям с учетом уточнения параметров очага деформации согласно модели процесса прошивки описанной в работе [6].
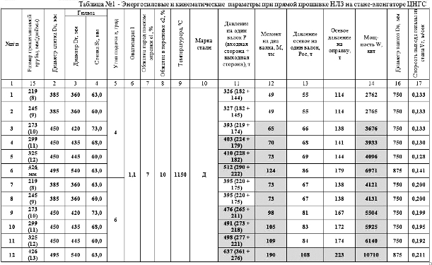
Результаты проверочного расчета, выполненного для процесса прямой прошивки на стане-элонгаторе TIIA 5-12’’ из заготовок диаметром 385 - 500 мм в гильзы крупных размеров, необходимые для прокатки труб из стали Д размером 8-13 дюймов при постоянном угле подачи 4 и 6° представлены в таблице 1.
Расчет показал, что при пошивке заготовок диаметром выше 370 мм значения давления на валок приобретают максимальные значения (см. табл.1).

Из анализа данных приведенных в таблице 1 можно сделать вывод о необходимости модернизации существующего стана-элонгатора для прямой прошивки заготовок диаметром, превышающим 370 мм.

Первоочередным мероприятием, направленным на модернизацию стана-элонгатора может служить изменение калибровки валков (увеличение угла подачи) с усилением главного привода.
Также расчеты позволили установить, что на стане-элонгаторе ТПЦ-4 ПАО «ИНТЕРПАЙП НТЗ» имеется некоторый резерв для расширения диаметра исходных заготовок до 500 мм (для труб диаметром 426 мм).
Разработанная усовершенствованная методика расчета силовых параметров для станов косой прокатки может быть использована при проектировании новых станов и выполнении проверочных расчетов для косовалковых станов разного назначения.
Литература
1.Целиков А.И.Теория расчета усилий в прокатных станах. — M.: Металлургиздат, 1962. — 594 с.
2. Смирнов В.С. Теория обработки металлов давлением. -М.: Металлургия, 1973.—496 с.
3. Павлов И.М.Анализ процесса прокатки при неравномерном распределении давления и сип трении: Материалы конференции пи теоретическим вопросам прокатки. —М.:Металлургиздат, 1962. С. 11 -29.
4. Грудев А. П. Внешнее трение при прокатке. — М.: Металлургия, 1973. - 288 с.
5. Третьяков Л.В., Зюзин В.И.Механические свойства металлов и сплавов при Обработке давлением – М.: Металлургия, 1973. - 224 с.
6. Гуляев Ю.Г. Определение геометрических параметров очага деформации в станах поперечно-винтовой прокатки //Гуляев Ю.Г., Шифрин Е.И., Лубе И.И., Гармашев Д.Ю., Николаенко Ю.Н./ Сталь, №11, 2013. С. 53-55.