Автор: С.Р. Рахманов
Категории:
трубное производство
Приведены результаты исследования динамики нестационарного ударного взаимодействия гильзы с валками автоматического стана. Разработана уточненная математическая модель нестационарного взаимодействия рабочих валков автоматического стана с прокатываемой гильзой. Установлены особенности поведения механической системы. Получены выражения для определения динамичности механической системы с учетом соответствующих параметров ударного импульса и динамического взаимодействия гильзы с рабочими валками автоматического стана.
Ключевые слова: гильза, труба, технология, валок, калибр, оправка, автоматический стан, динамика, очаг деформации, ударный импульс, масса, математическая модель, давление, смятие, динамический прогиб

Рахманов Сулейман Рахманович
Национальная металлургическая академия Украины,
кафедра теоретической механики. ООО НПФ «ВОСТОК ПЛЮС»
УДК 621.771.28.001.2: 531/534
Особенности формирования нестационарных процессов при ударном взаимодействии гильзы с валками автоматического стана
Растущие темпы работы трубопрокатных агрегатов (ТПА) влечет за собой ужесточение режимов функционирования основного и вспомогательного оборудования станов всей технологической линии. Автоматический стан, в силу сложившихся причин, в линии трубопрокатного агрегата является наиболее узким местом при реализации требуемых технологических процессов производства бесшовных труб на ТПА [1] .
Переходные процессы при прокатке гильз на автоматическом стане сопровождаются значительными ударными нагрузками. Они, как правило, возникают в период захвата гильзы (трубы) с массивными рабочими валками.
Следует отметить, что при принудительной подаче гильзы в калибры стана (предусмотрена подача гильзы вталкивателем в очаг деформации) происходит определенное улучшение захвата гильзы рабочими валками. Захват гильзы валками автоматического стана, помимо всего прочего, существенно осложнен тем, что гильза, ударяясь о валок, одновременно взаимодействует с оправкой в калибре и всей стержневой системой механизма удержания оправки (рис. 1). Эти условия, наряду со всеми другими, формируют начальные условия процесса и сложное напряженно-деформированное состояние металла в очаге деформации, и нестационарные динамические процессы в элементах рабочей клети и главного привода стана в целом.

а) б)
Рисунок 1 Схемы автоматического стана трубопрокатного агрегата и взаимодействия гильзы с валками:1 – валок; 2 –оправка; 3– гильза; 4 – стержень оправки; 5 – стол передний; 6 – ролики обратной подачи гильзы; 7 – вталкиватель гильзы
Среди совокупности динамических нагрузок, действующих в главной линии автоматического стана трубопрокатного агрегата (ТПА), наименее неизученными являются значительные по величине кратковременные ударные нагрузки, вызываемые преимущественно взаимодействием гильзы с калиброванными валками в период принудительного захвата металла. Отметим, что принудительный захват гильзы валками стана вдоль оси прокатки обеспечивается пневматическими вталкивателями гильзы.
Исследованию аналогичных динамических процессов ударного взаимодействия заготовки с валками станов продольной прокатки посвящен ряд работ [2 – 4].
При этом, математическая модель нелинейного процесса ударного взаимодействия заготовки с валками стана продольной прокатки предложена в работе [2], линеаризация которой в дальнейшем позволила получить выражение для соответствующей упрощенной формы ударного импульса.
Данная работа, выполнена на основе развития принятой математической модели, где сделана определенная попытка по установлению основных параметров ударного взаимодействия рабочих валков автоматического стана с гильзой в нелинейной постановке задачи.
Очевидно, предложенный подход более корректен и удобен при изучении сложных динамических явлений в элементах главного привода автоматического стана (ТПА).

Рисунок 2 Характер формирования ударной силы при взаимодействии гильзы с валками автоматического стана: 1 – давление металла на валки; 2 – усредненная форма ударного импульса гильзы о валок
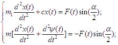
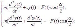
Для исследования ударного взаимодействия гильзы с рабочими валками автоматического стана воспользуемся системой взаимосвязанных дифференциальных уравнений
(1)
; (2)
. (3)
Здесь m = m2+m3 – соответственно сумма масс гильзы и элементов вталкивателя; m1 – приведенная к точке удара масса валка;c=cx=cy – жесткость валка по осям координат; y(t), x(t) – динамический прогиб валка в точке взаимодействия с гильзой;ψ (t) – местное смятие гильзы в точке контакта с валками; F(t) – сила ударного взаимодействия трубы о валок (ударный импульс);α – угол захвата гильзы валками; η и n – некоторые константы, зависящие от механических свойств материала и формы соударяющихся тел (гильза и валок), определяемые экспериментально [3], либо на основе строгих теоретических рассуждений, приведенных в работе [3. 4].
Решение дифференциальных уравнений (1) и (2) представляем в постановке задачи Коши с учетом определенных начальных условий задачи
x(0)=0
y(0)=0;
; ψ(0)=0;
,
где
– начальная скорость соударения гильзы с валками (равна скорости движения вталкивателя гильзы).
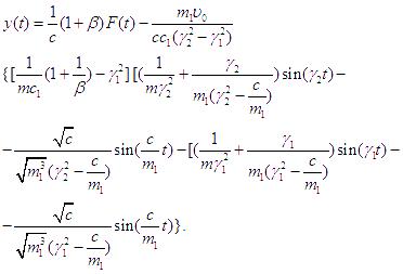
Используя обобщенный интеграл Дюамеля [3, 4, 7] выражение для определения динамического прогиба валка местное смятие гильзы представляем через функцию F(t) в виде.
; (4)
; (5)
(6)
Подстановкой (5) и (6) в (3) получаем интегральное уравнение относительно ударного взаимодействия гильзы с валками автоматического стан
(7)
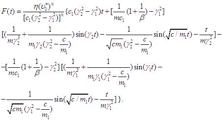
Для удобства решения задачи применим к уравнению (7) метод последовательных приближений, выбрав в качестве начального приближения решение соответствующей базовой задачи, которая изложена в работе [2]
, (8)
где
;
;
;
:
, (9)
где c1 – коэффициент пропорциональности в линейной зависимости от функции ударного силового взаимодействия гильзы о валок (ψ = c1F).
Из [4, 5] известно, что предложенный процесс построения последовательных приближений при достаточно плотном шаге итерации сходится с точным решением. Оценка сходимости результатов в установленных пределах погрешности решения задачи в пределах +/–10 %.
Переходим к экспериментальному определению констант ударного импульса η и n, преимущественно зависящих от механических свойств материала и формы соударяющихся тел (гильза и валок).
Анализ литературных источников [1 – 3] по определению давления металла на валки автоматического стана и теоретические исследования технологических нагрузок показали, что данные параметры для процесса прокатки труб зависят в основном от диаметров гильзы, степени ее деформации и скорости прокатки гильзы. При варьировании параметрами гильзы (диаметром, толщиной стенки и скоростью подачи гильзы в очаг деформации) можно построит зависимость изменения усилия от времени переходного процесса прокатки гильзы. Характерно, что в результате удара гильзы о валок усилие прокатки гильзы кратковременно возрастает с большим размахом, в дальнейшем уменьшается до номинальных величин и изменяется сравнительно незначительной амплитудой.
При прокатке толстостенных труб, сравнительно большой массы (500-800 кг), динамические составляющие усилия прокатки гильзы оказываются превалирующими.
Результаты расшифровки осциллограмм [6], обработанные методами математической статистики, наиболее вероятные средние за два прохода значения давления металла на валки и момент на шпинделе главного привода представлены в таблице 1.
Таблица 1 Результаты экспериментальных исследований линии привода автоматического станаТПА 140
№№ п/п |
Диаметр заготовки, мм
|
Марка стали
|
Размер гильзы мм × мм
|
Давление металла на валок, кН
|
Момент на верхнем шпинделе, кН м
|
|
1
|
130
|
Х13Н10Т
|
Ø 138 × 13,0
|
730/854
|
79
|
|
2
|
100
|
ШХ15
|
Ø 103 × 12,5
|
560/790
|
68
|
|
3
|
110
|
40Х
|
Ø 114 × 11,0
|
590/810
|
57
|
|
4
|
140
|
30ХГСА
|
Ø 148 × 13,5
|
760/875
|
74
|
|
5
|
110
|
Ст.20
|
Ø 114 × 11,0
|
550/780
|
54
|
Замеры усилий проводились при прокатке гильз по наиболее жестким и отработанным технологическим маршрутам согласно таблицам прокатки труб на автоматическом стане ТПА 140. Использованием осциллограмм экспериментально находим соответствующие величины констант ударного импульса η и n. Например, при прокатке гильзы размерами Ø 114 × 11,0 из стали Ст. 20 суммарное давление металла на валки составляет 1330 кН и путем сглаживания пиковых значений давление металла на валки с учетом смятия входной части гильзы находим, что η =1,32 и n =3,45.
Осциллограммы экспериментальных исследований и их обработка дают определенные представления о характере формирования технологической нагрузки. Видно, что они носят нестационарный динамический характер, особенно во время захвата гильзы валками автоматического стана (рис. 3)

Рисунок 3 Осциллограмма энергосиловых параметров главного привода автоматического стана ТПА 140 (гильза Ø 114 × 11,0; сталь20, интервал времени – 0,1 с): 1 – момент на нижнем шпинделе: 2, 3 – давление металла на валки
Коэффициент динамичности (отношение максимального момента к среднему значению момент при установившемся процессе прокатки), при этом, составляет 3,2 – 3,7. Время действия трех первых пиков динамической нагрузки составляют 4 – 5 % от машинного времени. Максимальное значение давления металла на валки, зафиксированное на осциллограммах, равно 1400 кН, момента на шпинделе рабочего валка – 240 кН м.
Проведенные экспериментальные исследования показали, что усилия и моменты прокатки в первом и втором проходах сравнительно мало отличаются по своим значениям. Это объясняется тем, что, если в первом проходе гильзы через валки несколько выше деформация, то во втором увеличение сопротивления деформации из-за заметного понижения температуры металла.
Далее, после определения соответствующих коэффициентов, переходим к аналитическому определению величины ударного импульса.
Подставляя выражение (8) в слагаемое интегрального уравнения (7) получаем некоторое приближенное представление для искомой функции ударного импульса гильзы о валок в виде
(10)
Следовательно, время достижения максимального ударного импульса гильзы о валок автоматического стана tm определяется из уравнения (10) когда F(t)=0 .
Очевидно, в этом случае ударная сила гильзы о валок стана определяется из (10) и при t=tm равнаF(tm)=Fm.
Отметим, что подстановка функции ударного импульса (10) в формулы (5) и (6) дает соответствующие зависимости для динамического прогиба валка и местного смятия контактной поверхности гильзы.
Однако, ввиду некоторых сложностей математического характера (взятия квадратур) в (5) и (6), функции x(t), y(t) и ψ(t) целесообразно определить непосредственно из системы уравнений (1) и (3).
Учитывая, что
для малых углов захвата гильзы (x(t)=0) окончательно получаем выражение для определения динамического прогиба рабочего валка во время удара со стороны прокатываемой гильзы в виде
(11)
Характер изменения технологических нагрузок в зоне взаимодействия гильзы с валками в зависимости от массы и скорости ее подачи вталкивателем в очаге деформации обусловлен нестационарной динамикой процесса прокатки. В связи с этим, для выявления прочностных резервов валков рабочей клети и элементы линии главного привода автоматического стана, требуется знание максимальных значений и характер изменения усилий прокатки гильзы.
Об адекватности полученных результатов реальному процессу ударного взаимодействия гильзы с валком автоматического стана ТПА можно судить, сравнивая, например максимальное контактное усилие, определяемое уравнением (11) со значением Fm, полученным по приближенной формуле согласно [2, 3].
, (12)
где b+ – приведенная «ширина» гильзы в зоне контакта с валком;σc – усредненное значение предела текучести материала трубы; α – угол захвата трубы валками; k – коэффициент восстановления скорости при ударе трубы о валок (определяется экспериментально).
Последнее выражение получено на основе равенства усилия пластического смятия и кинетической энергии гильзы. Данное выражение дает верхнюю оценку максимальной силы ударного взаимодействия гильзы с валком автоматического стана.
В качестве примера рассмотрим удар гильзы (гильзы после прошивного стана) массой m=580 кг о рабочий валок автоматического стана ТПА 140, при этом масса валка, приведенная к точке удара, равна m1 =6500 кг, а скорость принудительной подачи гильзы на ось прокатки составляет υ+0 =2 м/с.
Расчеты показывают, что максимальное контактное усилие гильзы о валок составило: по методике, предложенной в данной работе, – 1180 кН, а упрощенной методике – 1235 кН. Относительная погрешность расчетов составляет около 12%, что говорит о достаточно хорошей сходимости полученных результатов.
Отметим, что разработанная математическая модель (1) – (3) и проведенный в данной работе анализ могут быть полезны при исследовании аналогичных сложных динамических систем станов продольной прокатки.
Выводы
1. Представлены результаты исследования ударного взаимодействия гильзы с валками автоматического стана трубопрокатного агрегата.
2. Разработана уточненная математическая модель и выявлены основные параметры динамического взаимодействия рабочих валков автоматического стана с прокатываемой гильзой.
3. Получены выражения для соответствующей формы ударного импульса и динамической составляющей давления металла на рабочие валки автоматического стана.
4. Определены величины и характер изменения ударных нагрузок в зоне взаимодействия гильзы с валками в зависимости от массы и скорости ее подачи в калибры очага деформации.
Список использованных источников
- Данченко В.Н. Технология трубного производства. Учебник для вузов. /В.Н. Данченко, А.П. Коликов, Б.А. Романцев, С.В. Самусев //. – М.: Интермет Инженир., 2002. – 640 с.
- Кожевников С.Н. Динамика нестационарных процессов в машинах. – Киев: Наукова думка, 1986. – 288 с.
- Читоделидзе Г.М., Спиваковский В.Б., Шаранидзе Д.А. Об одной модели ударного взаимодействия слитка и валков обжимных прокатных станов. - Сообщение АН Грузинской ССР: 1981, т.103, №1. С.125 – 127.
- Батуев Г.С. Инженерные методы исследования ударных процессов. – М.: Машиностроение, 1979. – 268 с.
- Гольдсмит В. Удар. Теория и физические свойства соударяющихся тел. – М.: Стройиздат, 1965. – 448 с.
- Рахманов С.Р. Экспериментальное исследование виброактивности станов винтовой прокатки труб трубопрокатного агрегата./ С.Р. Рахманов, В.Л. Тополов// – Вибрация в технике и технологиях, № 2 (62), 2011. С. 91 – 96.