Автор: Koshlak H.V., Pavlenko A.M., Usenko B.O.
Thermal conductivity of the gas in small space

Ph.D., associate professor Hanna Koshlak

Dr. sci, professor Anatoliy Pavlenko

Postgraduate Bohdan Usenko
Poltava National Technical Yuri Kondratyuk University, Poltava
Thermal conductivity of the gas in small space
The article is devoted to research of peculiarities of porous materials with micropores thermal conductivity. The temperature influence pattern of heating surface on the process of heat transfer by convection in the pores is given. Mathematical model of gravitational convection, which allows to predict the intensity of the convection current is proposed.
Key words: convective heat exchange, the particulate material, thermal gradient.
Convective heat exchange arising in the pores of the material dominates the elementary components of heat exchange in porous materials. That is why theoretical analysis of convective heat transfer is the actual problem, which comes to development a methodology for quantitative evaluation of convective heat transfer in the pores of heterogeneous systems.
Traditional methodology of evaluation the nature of heat transfer in enclosed space is based on the calculated Grashof number (Gr) and Prandtl (Pr) for particular environment.
Correlation of these numbers in a given range of values makes it possible to establish the presence of convection currents in the heated surface. One may judge about the accuracy of such assessment from the change of intensity of heat transfer under the conditions of heat conditions change. Such qualitative characteristic of heat transport process in our view does not reflect real physical processes occurring in confined space. The intensity of gravitational convection current is determined not only by thermophysical characteristics of contacting media, scaling factors, but also by orientation of the heating surface in space. Heat is transferred from the surface in the near-wall region, the thickness of which is sufficiently small. If one takes it as a scale factor for Grashof’s equation, the number of Gr will not exceed the critical value corresponding to a heat transfer conduction. But when heating the space through the side surfaces the convection currents are always present. And the question of what they contribute to the heat transfer remains relevant.
The process simulation of heat transfer by convection was performed using an application software package Flow Vision. In the function of variables dimensions of the closed cell and the surface temperature of the gas were selected. For the numerical solution of the Navier-Stokes and continuity equations describing the convective current, conservative scheme for unsteady equations [1]. Solution is shown in Figure 1.




Fig.1 Distribution of velocities and temperatures
The figure shows that along the walls of the layers with relatively high flow rate are forming. Isolines in the center tend to a horizontal position. Such current distribution was more typical for all calculated cases. When large numbers Gr gasflow from the heated surface is formed. It is for these cases in the literature critical numbers Gr are shown, which formalize the heat transfer process in closed area. But convective heat transfer can occur along the surface, wherein the moving in the center of motion is absent. Such a case in the literature is considered to be the heat transfer by thermal conductivity. Obviously, the energy transfer in the boundary layer can be significant.
To estimate the intensity of heat transfer, mathematical model connecting the surface temperature with the speed of convective current was developed [1].
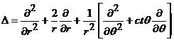
Mathematical model of gravitational convection includes the following equations:
(1)
(2)
(3)
where n = h/r0 – kinematic viscosity coefficient;
- thermal diffusivity, values which correspond to the tabular ones for Т=Т0. The unknown functions: V - velocity vector, р – pressure, Т – absolute gas temperature, r - density, h - dynamic viscosity, l - thermal conductivity, t - time, g – acceleration of free fall.
For simplicity we may use the Oberbeck-Boussinesq approximation.
Т0 – some value from the interval of temperature change in the medium, at which the density equals
. Let us suppose that the temperature T in the medium deviates a little from Т0. Then the equation of state may be linearized, leaving only a member of the 1st-order of smallness in the expansion of a function r(Т) in a Taylor series in the neighborhood of the value Т0:
,
where
- coefficient of thermal expansion of the gas at Т=Т0.
Density dependence on the temperature is taken into account only in the term with volume force of gravity
, but in other cases they consider
. Under such assumptions, the problem becomes as follows:
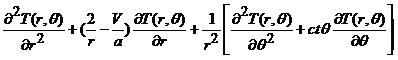
Let us find a solution to the boundary value problem:
(4)
for partial differential equations:
(5)
here:
; (6)
then:
(7)
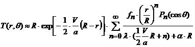
Approximate solution of the problem for equation (5) becomes:
(8)
Solution of equation (8) is shown in the graph of Figure 2.

1 - the pore radius r =2.5 mm; 2 - the pore radius r =4.5 mm;
3 - the pore radius r =7.5 mm
Fig. 2 The solution of equation (8)
For vertical heating wall the calculated values of the number
are given in Figure 3.
Fig. 3 - Change the number Nu in time for the conditions of the Figure 1
Conclusions
The calculations performed confirm the presence of convective current on the heating surface in closed gas volumes with any geometric and energetic characteristics.
According to computation data it is possible to determine the basic stages of heat transfer and set their boundaries. On the graph of Figure 3 in the time interval
one may observe the relaxation period of gas(air) heat exchange with the surface. If convective heat transfer was absent, meaning of the number would approach to Nu to 1, i.e. heat flux transmitted by convection would be equal to the heat flux thermal conductivity. The minimum value of Nu number on the graph corresponds to the beginning of convective transfer.
Thus, the above mathematical model and calculations allow to perform a quantitative analysis of the convective heat transfer in dependence on the temperature of the heating surfaces in a closed volume.
References
Pavlenko, A.M., Basok, B.I., Avramenko, A. A. (2005). Heat Conduction of a Multi-Layer Disperse Particle of Emulsion. Heat Transfer Research. 36, (1,2), 55-61.