Stress calculation of moment transmitting roll with profile on the base of Reuleaux triangle

19/06/2014 9:30am

Автор: Razumov M.S.,Gladyshkin A.O., Kassikhin V.N., Pykhtin A.I., Skripkina Y.V.

Detailed calculation of polar moment of inertia for cross section of Reuleaux triangle form is considered. With the help of received dependences, it is possible to determine to a high precision concerning stress, appearing in profile connection during torque transmission. Also software module for strength prediction of profiling rolls is described. It allows to fulfill strength check and adjustment of overall parameters of profile momenttransmitting connection on the base of Reuleaux triangle.
Key words: polar moment of inertia, axial moment of inertia, twisting, Reuleaux triangle, profile connection, tangential stress.

UDK 531.8

Razumov Mikhail Sergeyevich
candidate of science, senior teacher of the city,
road building and the building mechanics department SWSU


Gladyshkin Aleksey Olegovich
candidate of science, senior lecturer of the city,
road building and the building mechanics department SWSU


Kassikhin Vladimir Nikolayevich 
senior teacher of the city,
road building and the building mechanics department SWSU


Pykhtin Aleksey Ivanovich
candidate of science,
executive secretary PK SWSU


Skripkina Yelena Vasilyevna 
candidate of science,
senior lecturer SWSU

South-West State University, Kursk, Russia

Stress calculation of moment transmitting roll with profile on the base of Reuleaux triangle

Torsion analysis of moment transmitting connections lies mainly in determination of maximum tangential stress in cross section. Basic calculating formula for determination of tangential stress in the point y

,

where Тmax – maximum torque, transmitted by the roll,
Iρ – polar second moment of area;
y – coordinate, where stress must be determined.
When cross section is of simple form, calculation of Iρ is easy to perform. In general terms it may be presented as the sum of two axial moments of inertia

(1)

where I xc and Iyc - axial moments of inertia.
Moment transmitting connection, performed on the base of Reuleaux triangle (figure 1) has rather complex profile in cross section. It consists of three circular segments (1, fig. 1) and a triangle (2, fig.1). Centers of circles, describing circular segments, lie in the corners of triangle.

 

Reuleaux triangle

Figure 1 Determination of polar moment of inertia of Reuleaux triangle

Triangle side c (parameter R in the fig. 1) may be determined from the formula

.

Altitude of the triangle h may be determined as follows

Triangle polar moment of inertia is equal to

(2)

Polar moment of inertia of circular segment may be determined from the formula (fig. 2):

 (3)

where I X1 segm and I Y1 segm - axial moments of segment;
A – circular segment area;
yc – coordinates of segment gravitational center.

 

polar moment of inertia
Figure 2 a Determination of polar moment of inertia of circular segment about the axis XC1

Now let us determine axial moment of inertia I X1 segm, I Y1 segm and circular segment area (fig. 2, b).

polar moment

Figure 2 b Determination of polar moment of inertia of circular segment about the axis YC.

As one knows from mechanics of solid deformable body:

and

Calculating I X1 segm, surface element is located at a distance y = R•sinα. Correspondingly dy = R•cosα dα. Value b = R•cosα. Area of surface element equals dA = 2b•dy. The angle may change within. Circular segment area is equal to

(4)

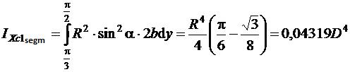
Moment of inertia concerning X C1 axis equals

(5)

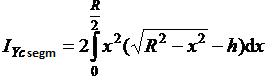
Let us calculate I Yc segm

where x= Rcos t - distance from Y axis to surface element.
To take this integral in parametric form is the most preferable. Let us introduce the parameter t as follows:

Correspondingly, dx = -Rsin tdt . Consequently, limits on integral will be changed: at x1=0, , at , . As a result we will get

(6)

First moment of area of segment in x-axis equals

Coordinate of gravitational center may be determined from the formula

 

(7)

 

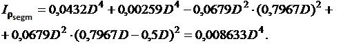
Finally, inserting (4), (5), (6) and (7) into (3), we will get polar moment of inertia of circular segment:

(8)

Let us assume polar moment of inertia of Reuleaux triangle in the form of the sum oftriangle polar moment of inertia and tripled polar moment of inertia of circular segment:

(9)

On the base of these calculations, computer program was developed. Width across corners and maximum torque, being transmitted by profile connection, are the input data. Program interface is shown in the figure 3.

calculation route selection

Figure 3 Program interface a) calculation route selection b) calculation in accordance with allowable carrier power c) selection of minimum size of cross section

The given above mathematical tool may be reprocessed and realized for calculation of five-cornered connection. However Reuleaux pentagon is impractical among machine-building profiles.
In such a way, this methodology will allow to shorten time, spent for design of profile moment transmitting connections, received on the base of Reuleaux triangle.

Research article is fulfilled with funding from RF President’s grant for government support of young Russian scholars - Doctors of Philosophy MK - 2653.2014.8.

References

  • Kassikhin, V.N., Razumov, M.S., Gladyshkin, A.O., Bykovskaya, N.E. (2012). Automatization of strength prediction of many-sided rolls on twisting. Izvestiya YuZGU. 2(2), 179-181.
  • Emel'yanov, S.G., Gladyshkin, A.O., Razumov, M.S., Yatsun, S.F. (2012). Automatization of work preparation of profile rolls. Izvestiya YuZGU 1(1). 113-116.
  • Timchenko A.I. Tekhnologiya izgotovleniya detaley profil'nykh besshponochnykh soedineniy [Manufacturing technology of keyless connection of profile pieces]. Moscow, VNIITEMR, 1988, 160 p.
  • Pisarenko G.S. Spravochnik po soprotivleniyu materialov [Structural resistance reference guide]. Kiev, Naukova dumka, 1988. 736 p.
  • Darkov A.V., Shpiro G.S. Soprotivlenie materialov [Structural resistance]. Moscow, Vysshaya shkola, 1975. 656 p.


Презентация

Контакты

Контакты

"Metaljournal" publishing
[email protected]
Dnipro

Project manager - Volodymyr Grynov

 

Партнеры