Автор: Lisenko T. V., Zamyatin N. I., Tur M. P., Khudenko N. P.
Категории:
foundry
The usage of spline interpolation for processing of experimental data at determining heat conduction coefficient of antistick coatings used during freezing mold casting.
Keywords: spline interpolation, antistick coatings, heat conduction coefficient, MathCAD
Spline interpolation for data processing at determining heat conduction coefficient of antistick coatings of frozen molds
Lysenko T. V.
D.Eng.Sc, professor
Control technology of casting processes department
Odessa national polytechnic university

Zamyatin N. I.
Head teacher of Control technology of casting processes department
1Odessa national polytechnic university

Khudenko N. P.
Docent of Mathematic department
Odessa national academy of food technologies

Tur M. P.
Master of Control technology of casting processes department
Odessa national polytechnic university
Many of those who face with scientific and engineering evaluations often have to use the values based on experience or obtained by means of random selection. As a rule, on the base of this setup it is necessary to build a function, where the other obtained values could precisely get [1].
Tertiary spline interpolation is the quick, effective and stable way of function interpolation. The main advantages of spline interpolation is its stability and small labour content. Systems of linear equations, which are necessary to be solved to build a spline, are well-conditioned, which allows to obtain polynomial coefficients to a high precision [2].
Let us consider the usage of spline interpolation for increase of stringency of test due to increase of data processing accuracy at determining of heat conduction coefficient of antistick coatings of frozen molds.
The value of heat conduction coefficient is one of the important parameters of antistick coating. Heat conduction of the coating has a very significant effect on the filling of the mould with liquid alloy and also on the course of casting formation. The coating of the following composition was chosen for research:
- titanium dioxide – 30-32 % (mass);
- disthene- sillimanite - 30-32 %;
- bentonite – 1-2 %;
- technological lignosulphonate – 3-4,5 %;
- water- till the set density.
Heat conduction coefficient of coating is determined by means of submersion [3].
The scheme of experimental assembly is given in the figure 1.
The assembly consisted of two stand rods (10), connected with horizontal (6), where with the help of clamps (3) ceramic lip seals (4) of chromel-alumel thermocouples (5) are fixed. One of the thermocouples was introduced into copper tube (2) and with its junction with the help of spring was retained against geometric center of copper sample (1)

Figure 1. The scheme of assembly for determining of heat conduction coefficient by means of submersion: 1 – copper sample with coating; 2 – copper tube; 3- holders; 4- ceramic tubes; 5 - chromel-alumel thermocouple; 6- bar for fastening of thermo-couples; 7 – millivoltmeters PP -63; 8 - resistance heated furnace; 9 – pot; 10 - stand rod.
Copper sample was of cube form, where there was bored a closed screw hole, coming to its gravitational center. The size of sample was 40x40x40 mm, diameter of screwed in copper tube was 3 mm, chromel-alumel thermocouples were made of wire with diameter 0.5 mm. Sidelong thermocouple was placed near the sample. With the help of thermocouple temperature measurement of liquid bath with metal was fulfilled. During overlaying of the sample, the thickness of the layer is non-uniform in its different parts. That is why in order to apply the paint of certain thickness, copper wire with diameter 0.5 mm was primary fixed. Two wires were fixed in such a way that they grasped four cube faces at a distance of 5 mm from its edges.
To strengthen the wire on the other two faces across all the eight corners, there were made holes along the small diameter. Four section wires, which bordered the two mentioned cube faces, were passed through these holes. The wire was fitted tight to the faces of the sample without any paint. Then the paint with the help of brush was applied, when the wire was fully in paint, the painting was stopped. The superfluous coat of paint was cut down with the help of scraper – plane metal bar. Herein the wire acted as a restrictor, which provided the necessary thickness of the paint layer. In order to avoid paint damage, the wire from the sample after drying of the coating was removed and coating tests were performed with wire. After predrying of paint coat, the cooling of experimental samples by liquid nitrogen in the cooling box was fulfilled. The cooling was stopped when the center of the sample reached specified temperature and was soaked within 5 minutes.
In accordance with methodology [3] the calculation came down to the following.
According to the experimentally obtained data, tangent of angle
was determined by temperature line at set regime of heat exchange for two time moments
and
:
(1)
Where
та
- differential temperatures of liquid metal and the center of copper sample in the time moment
and
.
Then under the formula
(2)
the first characteristic root was determined, which characterizes the stable heat exchange of cubic sample and aluminum bath. Herein K criteria, which allows to pass on from nondimensional time F0 to the time in seconds, for our case as follows:
(3)
where а — temperature conductivity coefficient of the sample (а= 0.372 m2/s for copper at the temperature 200 °С); R — radius of equal in area cube by volume of sphere.
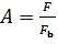
Considering that the sample was 40x40x40 mm in size, its volume was 64 c.c., heating area - F = 0.0096 m2, surface area of equivoluminar ball – Fb = 0.00773м2 , radius of equivoluminar ball - R = 0.0248 m, and configuration criterion
(4)
It was calculated under the formula (5)
(5)
where
– criterion of sample configuration ;
Р – denoted criterion, characterizing the heating rate of the sample.
Then under (6)
(6)
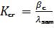
Thermal resistance of coating βc was determined. Heat conduction coefficient was calculated under the formula
, where Хc is the layer thickness of coating .
In accordance with suggested above methodology the exact value of heat conduction coefficient of the coating was determined. This value was compared with the value, calculated under the following formula:
(7)
Which is an approximation equation of heat conductance through the layer of coating and the sample (between the sample and liquid metal) without account of nonuniformity of temperature across the section of the sample. In (7) there agreed the following notations: G0 – mass of copper sample (0.555 либо 0.562 kg); С0 – copper heating capacity at 200 °С, J/kg○С;Хc – thickness of coating layer (0.0005 m); F0 – surface area of the sample (0.0096 m2); τ— time from the beginning of the research, с; ta – average temperature of liquid metal per time τ , °С; tcs1 – temperature of the center of sample before research, °С; tcs2— temperature of the center of sample at the moment τ , °С;
Then under the expression
(8)
The fractional error of approximative determination of heat conduction coefficient was evaluated.
According to the experimental and calculated data there was built a graph (fig. 2 and 3).
Figure 2. Change of sample temperature: 1- temperature of smelted metal; 2- temperature of sample center.

Figure 3. Change of tMe – tcs for the sample
Before start calculation of heat conduction coefficient, experimental data was processed with the help of spline interpolation.
Experimental points were connected in pairs by pieces of polynominal. Polynominal of the third degree was chosen for this purpose. To find coefficients of these polynominals, auxiliary conditions of cross-links were attached on the spline - the first and the second ones, derivative on the left and right from each experimental point should be equal. Two auxiliary conditions should be attached at the initial and end experimental points, as they do not have cross-link terms. These conditions may be chosen in different ways. Linear condition is imposed at the initial and end points. Experimental data is given in the figure 2 and 3. Interpolation by cubic splines is given in the figure 4.
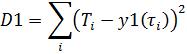
Measure of deviation
D1=0
Figure 4. Interpolation by cubic splines
Deviation fault during interpolation by cubic splines equals zero.
After this the calculation of heat conduction coefficient by means of exact and approximate method is fulfilled.
Exact method.
Point 1. τ1=50 с:[lg(tMe — tcs)]1=2.4624. Point 2. τ2=160 с:[lg(tMe — tcs)]2=1.7634
W/m2∙°С
W/m∙°С
Approximate method.
W/m∙°С
λ value failure, obtained during application of both calculation methods.

In such a way the value of heat conduction coefficient of surface is 0.162 W/m∙°С.
Conclusions
Application of spline interpolation during processing of experimental data at determining heat conduction coefficient of antistick coatings of frozen molds allowed to obtain more accurate results of the final calculation.
References
- Doroshenko S. P., Drobyazko V. N., Sheyko A. I.Prevention of metal penetration on the castings. Theory and practice (1996) . Liteynoe proizvodstvo. No 4. p. 20-21.
- Svarika A. A. Pokrytie liteynykh form [Mould coating] .Moscow, Mashinostroenie. 1977. 216 p.
- Doroshenko S. P., Drobyazko V. N., Vashchenko K. I. Poluchenie otlivok bez prigara v peschanykh formakh [Manufacturing of castings without penetration in sand moulds]. Moscow, Mashinostroenie. 1978, 321 p.